Hash collisions
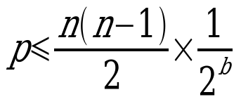
- The probability* of a hash collision (n is number of hashes, b is bits in the hash) is
- Example: 80M hashes @ 16KB (12.2TB of data) has a smaller than 2.18e-31 probability of a hash collision
- No excuse for not detecting collisions though!
* See section 3.1 of http://doc.cat-v.org/plan_9/4th_edition/papers/venti/